1 ) The de Broglie wavelength of electron moving with velocity of 1.5 x 10 ^ 8 m / s is equals to that of photon . The ration of K.E if electron to that of photon is : -
A ) 4 , B
) 8 ,
C ) 12 , D
) None of these ,
Correct
Answer : -
Solution : -
2 )
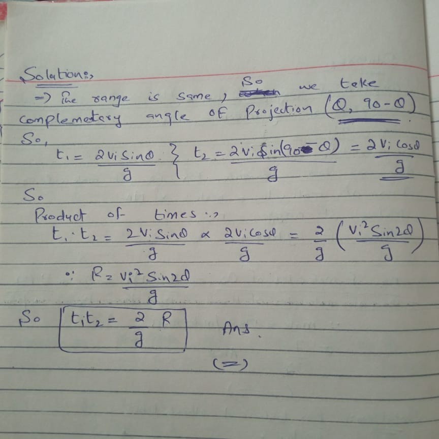
A projectile have Same range R for two angles of projection and t1 , t2 at time
of flight in the two cases , then what is product of two times of flight ?
A ) 2R / g , B
) 4R / g ,
C ) 8R / g , D
) None of these ,
Correct Answer : - A ) 2R / g ,
Solution : -
3 )
If t1 and t2 are the times of flight of two particles having the same initial
velocity ' vi ' and range R on the horizontal . So ( t1
) ² + ( t2 ) ² ?
A ) 2 vi2
/ g , B
) 4 vi2 / g ,
C ) 8 vi2
/ g , D ) None of these ,
Correct Answer : - B ) 4 vi2 / g ,
Solution : -
4 ) When current in a coil changes to 12 ampere from 3 ampere in 9 x 10 ^ ( -3 ) sec , then emf induced in the coil is 4 volts . The self inductance of coil is ?
A ) 4 x 10 ^ ( +3 )
Henry , B ) 4 x 10 ^ ( -3
) Henry
,
C ) 10 ^ ( -6 )
Henry , D ) 10 ^ ( -9
) Henry
,
Correct
Answer : - B ) 4 x 10 ^ ( -3 ) Henry
,
Solution
: -
Formula
: -
We
have formula that : -
E =
d ( NΦ ) / dt ,
E =
d ( LI ) / dt ,
E = L .
dI / dt ,
E = L . dI /dt
,
4 = ( L x 9 ) / 9 x 10 ^ ( -3 ) ,
L = 4
x 10 ^ ( -3 ) Henry ,
Answer .



